研究背景
软弹性体的力学特性在粘接材料,生物工程,传感器等领域中具有重要意义。长期以来,传统的Hertz理论一直是描述软弹性体在无摩擦和小变形条件下接触行为的主要理论工具。然而,软弹性体接触时常展现出显著的界面摩擦力以及常产生大变形接触,这提高了研究软弹性体接触模型的难度和复杂性,使得Hertz理论逐渐显现出其局限性。近年来,研究者们一直在努力对Hertz理论及其衍生理论进行修正,主要集中在大变形接触修正和无滑移接触修正两个方面。尽管如此,对于刚性凸起与弹性体的接触问题,往往同时涉及无滑移和大变形两种情况。因此,开发一种同时考虑大变形和无滑移接触的理论模型,对于理解和预测软弹性体在实际应用中的接触行为具有重要意义。
研究简介
近期,中国科学技术大学微纳米复合材料研究所张忠教授团队,在研究刚性凸起与半空间弹性体的无滑移-大变形方面,提出了一种新的理论框架。研究提出的无滑移-大变形模型,通过引入大变形系数θ,对Hertz理论进行了修正。研究表明,这种修正后的无滑移理论能够更准确地预测凸起与半空间弹性体大变形接触的作用力,尤其对于低泊松比弹性体,其预测结果与有限元分析和实验数据更为接近。此外,该理论还扩展到了考虑粘附力的情况,对JKR理论进行了大变形修正,揭示了在大变形条件下粘附力相对于接触压力可以忽略不计。这一研究不仅为理解软弹性体的大变形接触问题提供了新的理论工具,还为相关工程应用提供了重要的理论支持。相关研究以“Large deformation contact mechanics with Non-Slip Interfaces”为题,发表在固体力学领域TOP期刊International Journal of Solids and Structures上。

研究内容
本研究考虑一个刚性抛物面与半空间弹性体接触的模型,如图1所示。为了实现无滑移接触,理论中本研究假设刚性抛物面与弹性体的接触界面处,弹性体的径向应变在接触时保持不变。从而弹性体接触面处,接触圆边缘处一点M到接触圆中点的路径上存在径向应变,积分得到该路径总长度。并且该路径与抛物面形貌相贴合。以此为切入点,可以得到弹性体接触区域附近的变形梯度张量F的部分分量。又基于变形梯度张量即可得到柯西应力张量σ,柯西应力张量需满足平衡方程,从而得以求解接触区域附近的弹性体应力分布。

图1. 刚性抛物面深压入半空间弹性体示意图
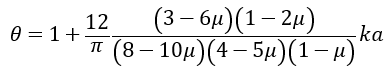
通过使柯西应力张量在接触区域附近的轴向应力一阶项满足平衡微分方程,本研究总结出了大变形系数θ:

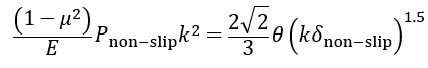
其中k为抛物面形貌参数,a为接触圆半径,μ为泊松比。我们的无滑移-大变形理论的力位移曲线表达式为:

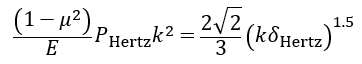
其中δ为压入深度,P为作用力。当θ恒为一时则退化为Hertz理论的力位移表达式:

从而大变形系数θ的引入简化了对大变形接触影响的描述。如图2所示,无滑移大变形理论对于不同泊松比的弹性体都有对Hertz理论的大变形修正,尤其对于低泊松比的弹性体修正效果明显。大变形系数θ的物理意义为相同归一化位移kδ下,无滑移-大变形模型预测力与Hertz模型预测力之比。因此,θ可以作为评估小变形假设与大变形假设适用性的指标。

图2. 不同泊松比下有限元、Hertz和无滑移结果的F(1-μ2)k2/E-kδ曲线比较
进一步参考了JKR方法,在无滑移-大变形模型的基础上考虑粘附力,得到了无滑移-大变形粘附模型:

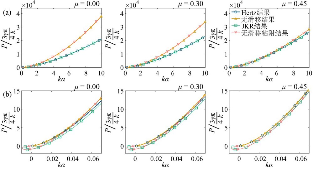
图3展示了无滑移-大变形粘附结果与JKR结果和无滑移-大变形结果的对比。图3(a)描述力位移曲线的大变形部分,其中无滑移-大变形结果的曲线与无滑移-大变形粘附结果的曲线几乎重合。表明大变形条件下,粘附作用对接触力的影响可以忽略不计,两种模型的结果高度一致。图3(b)是小变形局部放大图,则在小变形条件下,粘附作用对接触力的影响更为显著。从而无滑移-大变形粘附模型实现了无滑移-大变形结果与小变形条件下的JKR结果之间的平滑过渡。

图3 无滑移-大变形粘附结果与JKR结果的比较
中国科学技术大学近代力学系博士陈子健为第一作者,辜萍副教授为通讯作者。该工作得到了国家重点研发计划和国家自然科学基金等基金项目的资助。
原文链接:
https://doi.org/10.1016/j.ijsolstr.2025.113474