研究成果
RESEARCH FINDINGS

当前位置: 首页 > 研究成果

Large deformation contact mechanics with Non-Slip Interfaces

  ZiJian Chen, Tao Wang, tianyan Gao, XiaoPing Wu, Zhong Zhang,  Yang Zhao, Ping Gu*

International Journal of Solids and Structures (2025) doi: https://doi.org/10.1016/j.ijsolstr.2025.113474

ABSTRACT

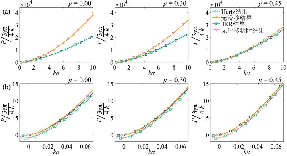
When a rigid paraboloid is deeply pressed into an elastomer with high surface energy, the interfacial tangential force becomes a significant factor that must be considered. To derive clear and accessible analytical solutions, we developed a modified theory for large deformation non-slip contact between a rigid paraboloid and a half-space elastomer, based on the principles of hyperelasticity. Our non-slip theory hinges on the large deformation coefficient θ. The non-slip theory expression can be succinctly described as the Hertz solution multiplied by θ. This coefficient is a critical indicator to evaluate the applicability of the small deformation assumption. If θ surpasses the allowable tolerance, the small deformation model is no longer valid. Our non-slip theory predicts higher external forces compared to the Hertz model, with predictions aligning more closely with finite element analyses and experimental data, particularly for materials with low Poisson’s ratio values. We also extend our non-slip theory to explain adhesion, enabling the large deformation modification of the JKR theory. This extension reveals that the adhesion forces are negligible compared to the pressures associated with large deformations. Our non-slip theory thus demonstrates its robust adaptability for applications involving adhesion. This research provides a pivotal theoretical framework that enhances our understanding of contact mechanics, particularly relevant to the large deformation contact issues between punches and elastomers.


×